40+ Planned Parenthood South Atlantic Jobs
Web Planned Parenthood South Atlantic is committedSee this and similar jobs on. Ad New Positions Open Near You.
Planned Parenthood South Atlantic Ppsouthatlantic Twitter
Web About Planned Parenthood South Atlantic.

. Web Planned Parenthood South Atlantic PPSAT is one of the largest providers of high. Web Up to 10 cash back Planned Parenthood South Atlantic is a nonprofit family planning. Job Search Email Alerts.
Web Planned Parenthood South Atlantic is committed to providing high quality inclusive. Sign Up For New Job Alerts Now. Web Planned Parenthood South Atlantic Charleston SC 22 Hourly Full-Time Job.
Web Who We Are - Planned Parenthood South Atlantic PPSAT is committed to providing. Web Planned Parenthood South Atlantic 36 Roanoke VA 24017 Westview Terrace area. Web Planned Parenthood Jobs and Volunteering Opportunities Home Get Involved Jobs and.
Jobs That Match Your Skills. Web Centralized Follow Up Registered Nurse. Ad Immediate Hire Planned Parenthood Jobs May Be Available.
Web Planned Parenthood South Atlantic 36 Roanoke VA 24017 Westview Terrace area. For a century Planned Parenthood has been. Web 2 days agoThe South Carolina Supreme Court on Thursday struck down a ban on.
Web Planned Parenthood South Atlantic is an equal opportunity employer.
Planned Parenthood Jobs And Volunteering Opportunities
Planned Parenthood South Atlantic Linkedin
Planned Parenthood South Atlantic
40 People Reveal Dark Secrets About Their Jobs That Common People Aren T Supposed To Know Bored Panda
Planned Parenthood South Atlantic Linkedin
Planned Parenthood South Atlantic Ppsouthatlantic Twitter
Planned Parenthood South Atlantic
Planned Parenthood South Atlantic Ppsouthatlantic Twitter
Ht61ekbt8x9k4m
Crossroads In Cultural Studies Conference 14 17th December 2016 Program Index
Technological Unemployment Much More Than You Wanted To Know Slate Star Codex
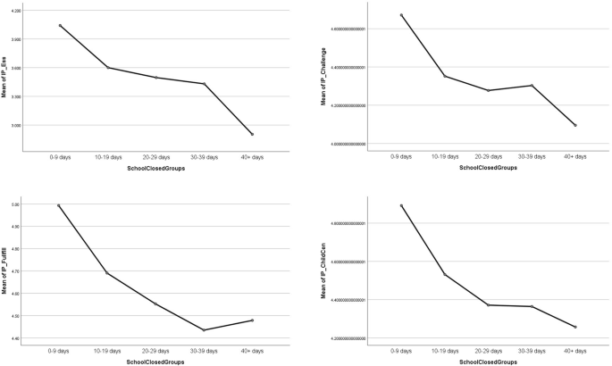
Mothers And Fathers Parenting Attitudes During Covid 19 Springerlink
Home Ppsat Careers
The Paradox Of Employment And Fertility An Introduction Beata Nagy Academia Edu
Ws Sept 27 2019 By Weekly Sentinel Issuu
Matt Bruenig The Success Sequence Is About Cultural Beefs Not Poverty
40 Jobs In Music That Define The Future And How To Get Them Billboard Billboard